Home
Research
Publications
People
Laboratory

Research

Research Areas:

  1. 1. Lignocellulosic biomass to liquid fuels and value-added chemicals

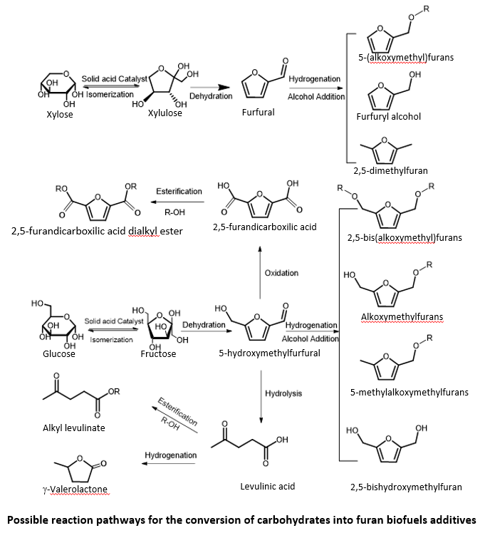
    Lignocellulosic biomass including wood, agricultural residues and dedicated bioenergy crops offer a significant potential renewable source to produce fuels and chemicals. The bulk of the carbohydrate-biomass comprises hemicelluloses and cellulose, which by hydrolysis form sugars, such as xylose and glucose. The partial dehydration of pentoses and hexoses can form furfural and 5-hydroxymethylfurfural (HMF). The U.S. Department of Energy (DOE) listed furfural and HMF among the top-ten biobased chemicals that meet the requirements to supply future fuels and commodity chemicals. Furfural and HMF has been identified as important intermediates in the synthesis of different chemical molecules such as aldehydes, alcohols and acids. 2,5-furandicarboxylic acid “the sleeping giant” presents structural analogies with terephthalic acid and might replace this carbon fossil-based monomers in polyesters and polyamides synthesis. Furfural and HMF are also important intermediates for preparing some potential biofuel candidates such 2,5-dimethylfuran (DMF), 5-ethoxymethylfuran, ethyl levulinate and -valerolactone. Therefore, extensive research efforts are currently being performed within our group to develop efficient and sustainable methods to prepare the above important fuel additives and bio-based chemicals from cheap biomass resources.

  2. 2. Fast pyrolysis of biomass and bio-oil upgrading to transportation fuels

    Fast pyrolysis is a thermochemical conversion process that involves rapid heating of biomass in the absence of oxygen at high temperatures to liquid bio-oil, biochar and gas. The resulting bio-oil is a complex mixture of oxygenated hydrocarbons that can be upgraded into transportation fuels such as gasoline, diesel, and jet fuel through various refining processes. Bio-oil upgrading technologies include hydrotreating, hydrodeoxygenation, and catalytic cracking which can increase the energy content of the bio-oil, making it suitable for use as a transportation fuel. The use of bio-oil as a transportation fuel can significantly reduce greenhouse gas emissions and dependence on fossil fuels, making it a promising alternative energy source for the future. Our group is interested to convert biomass to bio-oil through fast pyrolysis technique and to develop novel and cost-effective catalysts for various bio-oil upgrading systems.

  3. 3. Development of low-cost porous carbon materials for environmental applications and energy storage

    Porous carbon materials have unique characteristics such as high surface area, tunable pore size, and good chemical stability, which make them suitable for various environmental applications such as water treatment, air pollution, carbon dioxide capture, and energy storage. These materials can be produced from a wide range of biomass and waste sources, making them an attractive alternative to traditional activated carbon, which is often expensive and derived from non-renewable resources. The development of low-cost porous carbon materials for environmental applications and energy storage involves the optimization of synthesis methods, characterization of their properties, and testing of their effectiveness. Our research group are exploring various methods for synthesizing these materials from abundant renewable resources such as wood and agricultural wastes. We developed several promising porous carbon materials for the removal of water contaminants (heavy metals, dyes, and antibiotics) and CO2 capture. Our group is also interested to develop new porous carbon materials as supercapacitors for energy storage.

  4. 4. Nanocellulose-based composite for water treatment

    Nanocellulose-based composites are a class of materials that incorporate cellulose nanofibers as reinforcing agents in a matrix material, such as polymers or other natural fibers. These hybrid materials have gained significant attention in recent years due to their high flexibility, low density, toughness and high adsorption capacity. They are also biocompatible, biodegradable and environmental-friendly. Our research group is interested in the development of unique highly porous nanocellulose composite aerogel to adsorb pollutants such as heavy metals, dyes, antibiotics, per- and polyfluoroalkyl substances (PFAS) from contaminated water.

  5. 5. Sustainable Materials for Next-Generation Energy Storage

    Lignocellulosic biomass, comprising cellulose, hemicellulose, and lignin, provides an abundant, renewable foundation for developing the next generation of sustainable energy-storage materials. These biopolymers serve as versatile precursors for producing high-performance electrodes and solid-state electrolytes, enabling supercapacitors, batteries, and electrochemical sensors devices that are both efficient and environmentally responsible. Lignin and Cellulose derivatives can be transformed into ionically conductive hydrogels and crosslinked solid electrolytes with exceptional mechanical flexibility and advanced activated carbon that exhibit high surface area, robust stability, and favorable electrochemical behavior. Through controlled chemical modification, thermal processing, and nanocarbon activation, these biomass-derived components evolve into functional materials capable of supporting rapid charge transport, stable interfacial chemistry, and long device lifetimes. Their performance is further elucidated using cyclic voltammetry, galvanostatic cycling, impedance spectroscopy, and scanning probe microscopy to probe ion dynamics, surface phenomena, and degradation pathways. Consequently, extensive research in my group focuses on designing, fabricating, and evaluating sustainable electrodes and electrolytes derived from low-cost biomass feedstocks. By integrating material synthesis with life-cycle analysis, technoeconomic assessment, and full prototype testing, our work aims to establish scalable pathways for bio-based energy storage, advancing solid-state supercapacitors that are cleaner, lighter, and aligned with a circular materials economy.